企业邮箱 | 在线留言 欢迎访问华骞能源(深圳)有限公司官方网站

    咨询热线: 400 - 008 - 1699
        0755-23070859

【资讯中心】

联系我们
CONTACT US

华骞能源(深圳)有限公司

深圳总部
地 址:广东省深圳市宝安区西乡街道盐田社区宝安大道4018号华丰国际商务大厦13A02
电 话:0755-23070859/23076859
网 址:www.hua-energy.com



华骞能源(广东)有限公司
地 址:广东省深圳市宝安区西乡街道盐田社区宝安大道4018号华丰国际商务大厦13A03
电 话:0755-23070859/23076859
网 址:www.hua-energy.com


华骞能源(泰国)有限公司
地 址:222/326 Village No.3,Khlong suan Phlu Subdistrict,Phra Nakhon Si Ayutthaya District,Phra Nakhon Si Ayutthaya Province, Thailand
电   话:083-2525-888
网 址:www.hua-energy.com


行业新闻

当前位置:首页 > 资讯中心 > 行业新闻
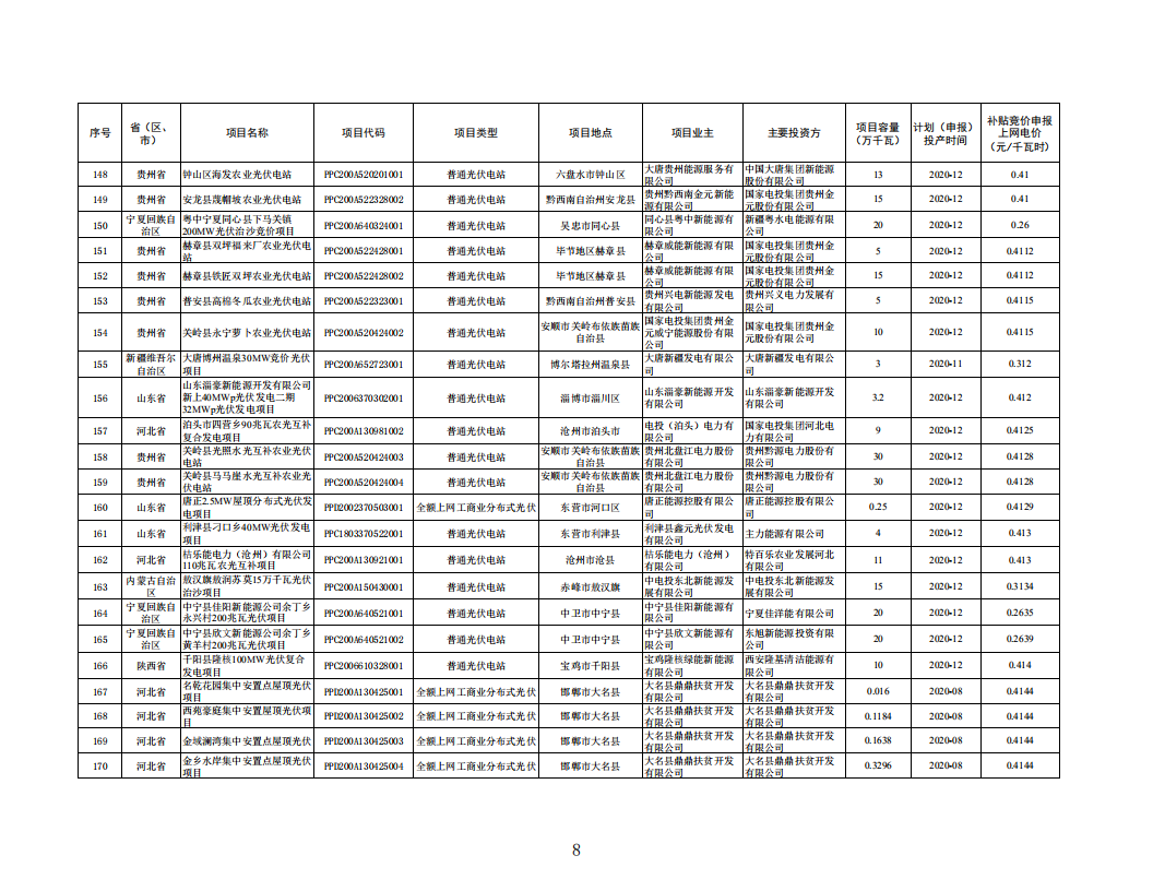
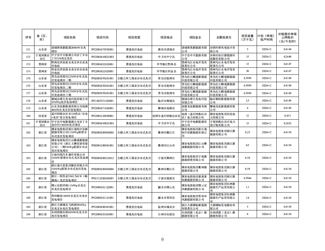
25.96GW!国家能源局公布2020年光伏项目竞价名单!


国家能源局综合司关于公布2020年光伏发电项目国家补贴竞价结果的通知
各省(自治区、直辖市)和新疆生产建设兵团能源局,有关省(直辖市)发展改革委,各派出机构,国家电网有限公司、南方电网公司、内蒙古电力(集团)有限责任公司,国家可再生能源信息管理中心:
  根据《国家能源局关于2020年风电、光伏发电项目建设有关事项的通知》(国能发新能〔2020〕17号),在各省(自治区、直辖市)能源主管部门组织项目、审核申报的基础上,我局组织开展了2020年光伏发电项目国家补贴竞价排序工作。现将竞价排序结果及有关要求通知如下。
  一、遵循公平、公正原则,经委托国家可再生能源信息管理中心对各省能源主管部门审核申报项目进行复核、竞价排序,拟将河北、内蒙古等15个省(区、市)和新疆生产建设兵团的434个项目纳入2020年国家竞价补贴范围,总装机容量2596.7208万千瓦,其中普通光伏电站295个、装机容量2562.874万千瓦,工商业分布式光伏发电项目139个、装机容量33.8468万千瓦,具体名单在国家能源局网站上予以公布。各项目按要求建成并网后依政策纳入国家竞价补贴范围,享受国家补贴。鼓励未纳入竞价补贴范围的申报项目在企业自愿的基础上转为平价上网项目。
  二、请相关省级能源主管部门组织各项目单位和项目所在地按照国能发新能〔2020〕17号文件相关要求,认真落实申报项目的各项条件和承诺,扎实做好拟纳入2020年国家竞价补贴范围项目的各项建设工作;请电网企业按照相关要求,切实做好光伏发电项目送出工程建设相关工作,保障项目及时并网,共同促进光伏产业健康有序、高质量发展。
  三、请相关省级能源主管部门组织各项目单位建立建设进度月报制度,于每月5日前在国家可再生能源信息管理系统中在线填报截至上月底情况,并督促加快建设,确保按期建成并网。对于2020年底前未全容量建成并网的,每逾期一个季度并网电价补贴降低0.01元/千瓦时;逾期两个季度后仍未建成并网的,取消项目补贴资格。如遇社会公认的不可抗力因素,建设期限经批准后可适当顺延。
  四、请各派出机构加强对监管区域国家竞价补贴项目建设、电网送出落实、并网和消纳等事项的监管。我局将根据项目条件落实和建设实施等实际情况,做好名单动态跟踪管理。
  附件:1.拟纳入2020年光伏发电国家竞价补贴范围项目分省汇总表
        2.拟纳入2020年光伏发电国家竞价补贴范围项目名单(在国家能源局网站上予以公布)




国家能源局综合司
2020年6月23日